線路板廠了解到,在電子類專業中,模擬電路是一門非常重要,并且不少人覺得很難的一門課。這里說一說對模擬電路這門課的理解,希望能對大家有所幫助。
1. 工程思想
模擬電路是一門工程性質的課程,學習它的重點在于掌握其中的工程思想,同時最好能用于實踐,而不只是為了做題考試。
何為工程思想呢?百度百科的解釋是這樣的:工程是科學和數學的某種應用,通過這一應用,使自然界的物質和能源的特性能夠通過各種結構、機器、產品、系統和過程,是以最短的時間和精而少的人力做出高效、可靠且對人類有用的東西。于是工程的概念就產生了,并且它逐漸發展為一門獨立的學科和技藝。
例如在模擬電路中,有個非常重要的工程思想——近似。中學物理課上,我們學的很多電路都是理想電路,導線電阻始終為0,變壓器的效率是100%,理想電壓表內阻無窮大,理想電流表內阻為0等。你可以發現,很多時候模擬電路中的計算會常常省略掉一兩個比較小的項,而且直接用等號而不是約等號。
為什么要用近似呢?說白了就是人類科學對自然的理解還不夠全面,無法絕對精確的描述自然現象;或者是人的理解力有限,精確描述代價太大。通過近似的手段,不僅對解決問題沒有明顯的影響,而且大大簡化了步驟,節約了時間和精力。運用這種思想,人類科學取得了很多成果,也充分證明了其可靠性。
2. 概要
模電本身是一個非常復雜的學科,而模電課程只是其中最基礎的東西。模擬電路(Analog Circuit)的含義是處理模擬信號的電子電路。自然界中絕大多數信號都是模擬信號,它們有連續的幅度值,比如說話時的聲音信號。模擬電路可以對這樣的信號直接處理(當然需要先轉換成電信號),比如功放能放大聲音信號,廣播電臺能將模擬的聲音信號、圖像信號進行發送。甚至可以認為,所有電路的基礎都是模擬電路(即使是數字電路,其底層原理也是基于模擬電路的)。其重要性不言而喻。
由于數字電路、可編程器件的迅速發展,體現了很多優越特性。很多電子設備都慢慢數字化,但始終還是離不開模擬電路。
目前模擬電路中最重要的器件,則非半導體器件莫屬。最基本和常用的半導體器件有二極管、三極管、場效應管和運算放大器。
二極管的作用很多,如普通二極管可用于整流,發光二極管可用于指示燈和照明,穩壓管可進行穩壓,變容二極管可用來進行信號調制等。模電課程中,涉及到二極管的部分相對比較簡單,而場效應管的很多特性類似三極管,所以常以三極管或運放為主體進行講解。
3. 三極管與放大器
三極管的基本功能是放大,通過這一特性,三極管構成各種電路,體現出了很多工程思想。
三極管基本電路就是放大器,例如功放就是一個放大器,輸入的聲音很小,輸出的聲音卻很大。放大器的輸出和輸入電壓(或電流)之比稱為放大倍數,又叫做增益。
對于一個電壓來說,如果以時間為橫軸、電壓為縱軸作圖,這個圖形則為這個電壓的波形。
如果一個放大倍數為5的放大器,輸入恒定的1V電壓(波形如下左圖),則輸出應該始終是5V(波形如下中圖),既不會隨時間改變,也不會隨溫度而變化,輸出和輸入的電壓形狀完全一樣。但如果放大倍數不穩定,不斷變化,原先輸入的信號就會變形(如下右圖),信號可能由一條水平直線變成了一條曲線。這種波形變化叫做失真。

一個理想的放大器,希望其放大倍數是恒定值。如果功放的放大倍數不穩定,聲音就會忽大忽小,波形變化還會導致聲音發生變化,即失真。
現實總是和理想相違背。很不幸,三極管的特性并不理想,它在放大電路中工作時,放大倍數不僅受輸入電壓、電源電壓影響,而且自身發熱導致溫度變化,也會影響它的放大倍數。這實在是讓很多工程師頭疼,如果不能找到有效的方法,減少這一特性帶來的影響,三極管很難應用到實際中來。
4. 負反饋
什么是負反饋呢?
反饋是指將系統的輸出又返回到輸入端而影響輸入,從而對系統整體輸出產生作用。反饋可分為正反饋和負反饋。負反饋是使輸出起到與輸入相反的作用,使系統輸出趨于穩定。
上面的解釋不好理解,我舉兩個例子。
1.玩倒立擺時,我們用手支撐起一個倒立的木棍,當木棍往某個方向傾斜時,我們通過將手移動到木棍傾斜的方向來抵消這種變化,使得木棍能在手上平衡。
2.高中的時候經常月考,我發現有些同學有這樣的習慣:當一次成績考得比較差的時候,就會開始好好學習,然后下次成績就上漲;而考得比較好時,接下來的一個月又會松懈,于是成績又會降下來,如此周而復始。
這兩個例子都充分說明,負反饋可以讓系統更穩定。
負反饋放大器
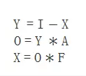
我們忽略具體電路,只畫一個簡單的框圖,來說明三極管放大電路是如何利用負反饋的。
下面三角形表示一個三極管構成的放大器,放大倍數為 A,輸入為 I ,則輸出 O=A*I ,由于放大倍數A不穩定,所以輸出波形會有失真。
.png)
在電路中添加了一些器件如下。
紫色的圓形是相加器,結合紫色的“+”、“-”符號,表示其輸出 Y=(+I)+(-X)=I-X ,在實際電路中用電阻就可以實現;
方框F是反饋器件,表示從輸出O取出信號,并將其與F相乘,得到 X ,所以 X=0*F ,這里 F<1 (這個部分在實際電路中可以用電阻實現);
三角形表示的放大器A,主要用三極管構成,滿足 O=A*Y ,且A的放大倍數不穩定,很容易受干擾。
.png)
可以列出方程組:

解得整個電路的放大倍數:

如果設計電路讓放大倍數A非常大,同時F不至于很小,則

符號">>"表示遠大于
根據近似的思想,上述整個電路放大倍數:
.png)
由于反饋器件可由電阻實現,普通電阻的阻值不容易受外界干擾,因此F的值很穩定,于是整個電路的放大倍數就很穩定。我們成功的通過負反饋解決了三極管的放大倍數穩定性問題。
可以看到這里的反饋部分和放大部分構成了一個環形,所以將整個電路的放大倍數稱為環路增益,或者閉環增益;而把增加反饋之前,電路的放大倍數A稱為開環增益。由于是負反饋,雖然電路增益穩定性提高了,但也有代價:

即開環增益遠大于閉環增益,也就是放大器增益大大降低。但總的來說,為了穩定性,這樣做是值得的。
5. 運算放大器
在上面的電路中,為了實際制造出開環增益A很大的放大器,往往要用多級三極管放大電路串聯的方式設計。由于這種高增益放大器的需求很常見,于是歷史上有人就把它們做成一個成品電路板模塊,要用的時候直接當成一個元件用就行了,非常方便。這就是最初的運算放大器,簡稱運放。
集成電路的發展,使得大量晶體管元器件集成在一個小芯片上成為可能,于是就有了今天十分常用的集成運算放大器。
電池FPC廠了解到,“運算放大器”由于最初用于模擬計算機上進行數學運算而得名。盡管現在廣泛使用的數字計算機不再用運放進行計算操作,但名稱還是保留了下來。而今天,運放在模擬電路中發揮著十分重要的作用,也成為模電課程的重點之一。
6. 運放的虛短虛斷特性
通常運放有兩個輸入端U+和U−,一個輸出端Uo,它們之間滿足

運放開環增益A常常高達幾十萬~幾百萬,但運放的輸出電壓受電源電壓限制,不能超出電源電壓。于是運放的輸入-輸出關系類似下圖形狀。
圖中橫軸是(U+-U-),縱軸是U。
.png)
在中間那一段直線區域,運放在正常放大狀態,稱為線性區,滿足Uo=A∗(U+−U−)
而當輸入的絕對值稍大一點時,輸出就會受到電源限制,不再滿足上述關系式,Uo的值通常比電源電壓范圍略小(注意運放可以用雙電源,即電源電壓范圍可以在一個負值和一個正值之間),稱為非線性區。
軌對軌運放的輸出可以達到電源電壓,有興趣可以自行在網上搜索學習。
當運放工作在線性區時,Uo的值很有限,但是A很大,所以U+−U−=UoA≈0,即U+≈U−
此時運放正負輸入端電壓幾乎相等,就像短路了一樣,稱為虛短。所以只有當運放工作在放大區才會有“虛短”的特點,而非運放自身固有屬性。
另一方面,由于運放內部結構特性,其輸入阻抗很大。
輸入阻抗可以簡單理解為 輸入阻抗 = 輸入端電壓 / 輸入端電流
輸入阻抗大,意味著運放輸入端只需很小的電流就能正常工作。正因為如此,運放才能用于一些微弱電流的檢測,比如人體的腦電波、肌電波,其最高電壓值只有幾mV,電流值也非常小。
運放這一特性被稱為虛斷,也就是輸入端和斷路一樣,幾乎沒有電流流入。
與虛短不同,虛斷是運放自身固有屬性,不會隨著電路的不同而改變。
7. 運放的非理想特性
運放由三極管構成,顯然和三極管一樣,也會有很多不理想的特性。前面講的都是理想運放的特點。而實際運放,它不會完全滿足虛短虛斷特性,正常工作時輸入端需要電流流入,這個電流便被稱作輸入偏置電流。同樣運放還有輸入偏置電壓、輸入失調電壓、輸入失調電流等非理想參數。
這些非理想特性,比如輸入偏置電流雖然很小,但有時候卻會對電路造成很大影響,導致電路無法工作。因此則需要通過一些手段減小這些因素造成的影響。在實際應用中,運放的非理想特性是一個非常重要的問題。運放非理想特性的消除有很多方法,這里不做介紹。
8. 其他內容
模電課程的核心就是三極管和運放。圍繞這些器件,講解多種電路,包括:
● 放大電路的計算分析、多級放大電路、放大器的頻率特性、反饋的思想;
● 功率放大電路;
● 比較器、振蕩器、積分器、微分器、波形發生等;
● 信號運算處理;
● 濾波器;
● 集成穩壓電源電路等。
9. 運放和三極管的比較
在實際設計電路時,運放比三極管用的相對會多一些。因為運放的很多特性比三極管要優秀,電路設計簡單,而且往往運放的成本并不高。很多時候用三極管和運放實現同樣的效果,使用運放的成本反而更低。因為運放是將大量晶體管集成在一塊的,平均每個晶體管的制造成本非常低。
例如一個常規音頻前級放大器,一個通用運放就能搞定,成本可能是0.2元,而用三極管實現同樣的效果,可能需要10個甚至更多三極管,成本或許要0.5元,并且設計時所花費的人力成本遠比運放方案高。
當然三極管也有其優勢。PCB廠了解到,在一些非常簡單的電路中,并不嚴格要求放大倍數的穩定性,一兩個三極管就能完成任務,往往會用三極管以節省成本。另外在一些比較極端的條件下,比如工作在高頻率、大功率的環境下(例如射頻信號發射電路),設計良好的三極管電路的性能會比運放效果好很多,或者成本低很多,甚至有些情況下只有直接使用晶體管才能完成,這時就需要使用三極管來搭建電路了。
